TRƯỜNG TIỂU HỌC NGUYỄN THƯỢNG HIỀN, PHƯỜNG NGÔ QUYỀN, TP. HẢI PHÒNG
Xưa có một anh chàng tiều phu nghèo, cha mẹ anh bệnh nặng nên qua đời sớm, anh phải sống mồ côi cha mẹ từ nhỏ và tài sản của anh chỉ có một chiếc rìu. Hàng ngày anh phải...
Đầu số 0965 là mạng gì? Ý nghĩa của đầu số 0965? Có phải số lộc phát?
Một số mẫu điện thoại đang kinh doanh tại Thế Giới Di Động: 0965 là một đầu số được rất nhiều người yêu thích không chỉ bởi những ý nghĩ tốt đẹp ấn giấu trong SIM mà nó còn xuất...
Những mẫu câu giới thiệu quê hương bằng tiếng Hàn Quốc đơn giản thông dụng nhất
Trong các bài học tiếng Hàn cơ bản hay trong giao tiếp thực tế thì chủ đề về quê hương rất phổ biến. Để giúp bạn không bị lúng túng khi làm bài tập hay trong giao tiếp tiếng Hàn...
Đáp án Module 3: Bảng kiểm Học thông qua Chơi
Đáp án Mô đun 3: Bảng kiểm Học thông qua Chơi được HoaTieu.vn chia sẻ dưới đây là gợi ý Đáp án Module 3 học thông qua chơi ở Tiểu học, giúp giáo viên hoàn thành các câu hỏi trắc...
Nỗi đau thời cuộc của Nguyễn Du trong 10 năm lưu lạc
Sinh thời, Đại thi hào Nguyễn Du coi quãng thời gian này là "Mười năm gió bụi" (Thập tải phong trần). Đau nỗi đau thời cuộc, lại hổ thẹn vì bản thân chưa làm được gì nên 30 tuổi tóc...
Thịt Chó Mẹt 7 Món 6 Người Ăn - 1200k
Thịt Chó Mẹt 7 Món 6 Người Ăn - 1200k Xin hãy xếp hạng Chọn mức 1 Chọn mức 2 Chọn mức 3 Chọn mức 4 Chọn mức 5 Chi tiết Lượt xem: 15247 Thịt Chó Mẹt 7 Món...
Thông tin học phí trường Cao đẳng Du lịch (FTC) mới nhất
Cao đẳng ngoại ngữ và Công nghệ Hà Nội (FTC) là một trong những ngôi trường nổi tiếng về đào tạo nhóm ngành Du lịch, nhà hàng, khách sạn chất lượng cao. Học phí trường Cao đẳng du lịch (FTC)...
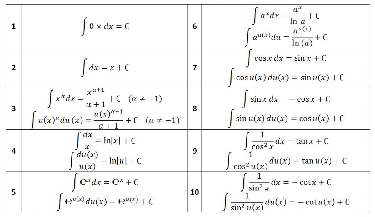
Tính Tích Phân, Nguyên Hàm Bằng Phương Pháp Đổi Biến Số Và Bài Tập Trắc Nghiệm
1. Phương pháp đổi biến số là gì? Phương pháp đổi biến số là một trong những phương pháp được dùng rất nhiều khi giải bài tập vì khi sử dụng phương pháp này, việc xử lý bài toán sẽ...
Soạn bài Thực hành tiếng Việt trang 41| SGK Ngữ Văn 7 tập 2 Kết nối tri thức với cuộc sống
Soạn bài Thực hành tiếng Việt trang 41 SGK Ngữ Văn lớp 7 tập 2 Kết nối tri thức với cuộc sống 1. Câu 1 trang 41 SGK Ngữ Văn lớp 7 tập 2 Kết nối tri thức với cuộc...
Sách giáo khoa Toán 11 (tập 1) (Kết Nối Tri Thức Với Cuộc Sống)
Sách giáo khoa Toán 11 (tập 1) (Kết Nối Tri Thức Với Cuộc Sống) được biên soạn bởi các tác giả: Hà Huy Khoái (Tổng Chủ biên), Cung Thế Anh, Trần Văn Tấn, Đặng Hùng Thắng (đồng Chủ biên), Trần...
Tổng hợp gói 4G/5G Viettel ngày, tháng, năm rẻ nhất update mới
Tham khảo ngay các mẫu tai nghe Bluetooth giảm giá SHOCK: Nhằm mang đến cho khách hàng nhiều sự lựa chọn, Viettel cung cấp đa dạng gói data theo ngày có dung lượng lớn, giúp khách hàng sử dụng thoải...
Việc làm giáo viên tiếng nhật (3.764 việc)
Khi bạn giỏi tiếng Nhật và muốn làm trong môi trường giáo dục thì công việc Giáo viên tiếng Nhật sẽ là lựa chọn tuyệt vời nhất. Hiện nay, nhu cầu tuyển Giáo viên tiếng Nhật tăng cao và chỉ...
Bưu điện làm việc đến mấy giờ? Lễ, tết có làm việc không?
Sẽ có những lúc bạn cần gửi hàng qua bưu điện nhưng mà không biết giờ giấc hoạt động của bưu điện ra sao. Bài viết này sẽ cập nhật chính xác lịch làm việc của các bưu điện trên...
Goodbye, take care hay see ya? 7 kiểu tạm biệt tiếng Anh ai cũng nên biết
Tạm biệt tiếng Anh là gì? Ngoài “goodbye”, người bản xứ sử dụng rất nhiều cách chào tạm biệt khác nhau tùy vào ngữ cảnh như “see you later”, “take care”, hay “farewell”. Bài viết tổng hợp hơn 70 cách...