Đánh Giá Trường THPT Thủy Sơn - Thủy Nguyên Hải Phòng Có Tốt Không?
Hải Phòng là thành phố ven biển, nổi tiếng là cảng biển lớn nhất ở miền Bắc. Không chỉ nổi tiếng với thế mạnh về kinh tế, Hải Phòng còn đặc biệt chú trọng tới sự nghiệp phát triển giáo...
Toán Sử GDCD là khối gì? học trường nào, làm ngành gì?
Khối A và khối D luôn là trung tâm của các khối thi nhận được sự quan tâm đặc biệt từ các thế hệ học sinh khi đăng ký tham gia kỳ thi tốt nghiệp THPT. Bởi hai khối thi...
15 Đề thi Học kì 1 Toán lớp 3 Chân trời sáng tạo năm 2026 (có đáp án)
Với bộ 15 đề thi Học kì 1 Toán lớp 3 Chân trời sáng tạo năm 2026 có đáp án theo cấu trúc mới được biên soạn và chọn lọc từ đề thi Toán lớp 3 của các trường Tiểu...
999+ mẫu thiệp 8/3 3D, thiệp chúc mừng 8/3 đẹp nhất 2026
Thiệp 8/3 3D 2025 đẹp nhất dành tặng phái nữ nhân ngày Quốc tế Phụ nữ. Các mẫu thiệp sẽ chứa đựng nhiều lời chúc, lời tri ân sâu sắc đến nửa kia thế giới. Bài viết dưới đây sẽ...
Vẽ trang trí viền giấy A4 đẹp nhất
Để có khung viền giấy A4 đẹp và sáng tạo bạn cần phải biết cách bố trí hài hòa đường nét, màu sắc. Dưới đây là bộ sưu tập Vẽ trang trí viền giấy A4 đẹp nhất cho bạn tham...
Hướng dẫn cách viết đơn xin học mẫu giáo cho con 2023
Câu hỏi: Bé nhà mình 3 tuổi, năm nay mình muốn cho con đi học mẫu giáo ở một trường gần nhà. Theo tìm hiểu, phụ huynh muốn xin cho con đi học cần làm hồ sơ gửi đến trường,...
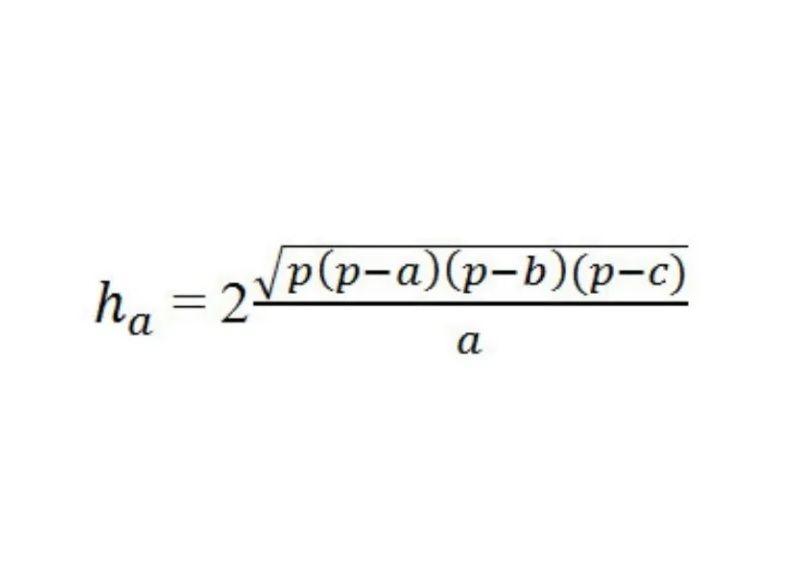
Đường cao trong tam giác là gì? Tính chất, công thức và các bài tập hay về đường cao
Hầu như tất cả đề toán nào cũng có sự xuất hiện của đường cao. Vậy đường cao trong tam giác là gì? Các tính chất và công thức tính độ dài của đường cao trong tam giác là gì?...
3 Đề thi Giữa kì 1 Công nghệ 7 Kết nối tri thức năm 2026 (có đáp án)
Với bộ 3 đề thi Giữa kì 1 Công nghệ 7 Kết nối tri thức năm 2026 có đáp án theo cấu trúc mới được biên soạn và chọn lọc từ đề thi Công nghệ 7 của các trường THCS...
Mất bao lâu để được cấp giấy quyết định ly hôn?
1- Giấy quyết định ly hôn của tòa án là gì? Ly hôn là chấm dứt quan hệ vợ chồng theo bản án hoặc quyết định đã có hiệu lực pháp lý của tòa án. Ly hôn phải được tòa...
Bệnh thiên đầu thống (tăng nhãn áp glôcôm): Nguyên nhân, triệu chứng cảnh báo
Bài viết được tư vấn chuyên môn bởi Bác sĩ mắt - Khoa Khám bệnh & Nội khoa - Bệnh viện Đa khoa Quốc tế Vinmec Hải Phòng Bệnh thiên đầu thống xếp thứ hai trong số các nguyên nhân...
Đại học Ngân hàng TP. HCM
A. GIỚI THIỆU Tên trường: Đại học Ngân hàng TP. Hồ Chí Minh Tên tiếng Anh: Banking University of Ho Chi Minh City (BUH) Mã trường: NHS Hệ đào tạo: Đại học - Sau Đại học - Liên thông...
Đánh giá Trường THPT Trần Hưng Đạo - Hà Đông có tốt không?
Trường THPT Trần Hưng Đạo - Hà Đông là một ngôi trường đã trải qua hơn 35 năm xây dựng và phát triển, hiện nay ngôi trường này đang được rất nhiều bậc phụ huynh và các em học sinh...
Harry Potter tiếng Anh minh họa bởi Jim Kay (5 tập) chính hãng có gì đặc biệt?
Ngay sau khi nhận được Huy chương Kate Greenaway - một giải thưởng văn học công nhận "hình minh họa xuất sắc trong sách dành cho trẻ em” của Anh hàng năm, Jim Kay đã được chính J.K Rowling chọn...
Làm cầu thang sắt tại Hóc Môn TPHCM
Đơn vị làm cầu thang sắt tại Hóc Môn TPHCM Cơ Khí Ngọc Hoàng với hơn 10 năm kinh nghiệm trong lĩnh vực làm cầu thang sắt sẽ là đơn vị uy tín, chuyên nghiệp đáng để quý khách tin...